
在使用電容器時,如果無法找到合適容量或耐壓的電容器,可將多只電容器進行并聯或串聯來得到需要的電容器。
1、電容器的并聯
電容器并聯是指兩只或兩只以上電容器頭頭相接,尾尾相接。電容器的并聯如圖3-60所示。

電容器并聯后的總容量增大,總容量等于所有并聯電容器的容量之和,以圖3-60(a)所示電路為例,并聯后總容量為

電容器并聯后的總耐壓以耐壓最小的電容器的耐壓為準,仍以圖3-60(a)所示電路為例,C1、C2、C3耐壓不同,其中C1的耐壓最小,故并聯后電容器的總耐壓以C1耐壓6.3V為準,加在并聯電容器兩端的電壓不能超過6.3V。
根據上述原則,圖3-60(a)所示電路可等效為圖3-60(b)所示電路。
2、電容器的串聯
兩只或兩只以上的電容器在電路中頭尾相連就是電容器的串聯。電容器的串聯如圖3-61所示。

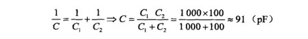
電容器串聯后總容量減小,總容量比容量最小電容器的容量還小。電容器串聯后總容量的計算規律是:總容量的倒數等于各種電容器容量倒數之和,這與電阻器的并聯計算相同,以圖3-61(a)所示電路為例,電容器串聯后的總容量計算公式是:

所以圖3-61(a)所示電路與圖3-61(b)所示電路是等效的。
電容器串聯后總耐壓增大,總耐壓較耐壓最低的電容器的耐壓要高。在電路中,串聯的各電容器兩端隨的電壓與容量成反比,即容量越大,在電路中隨電壓越低,這個關系可用公式表示:

以圖3-61(a)所示電路為例,C1的容量是C2容量的10倍,用上述公式計算可知,C2兩端承受的電壓U2應是C1兩端承受電壓U1的10倍,如果交流電壓為11V,則U1=1V,U2=10V;若C1、C2都是耐壓為6.3V的電容器,就會出現C2首先被擊穿短路(因為它兩端承受了10V電壓),11V電壓馬上全部加到C1兩端,接著C1被擊穿損壞。
當電容器串聯時,容量小的電容器應盡量選用耐壓大,以接近或等于電源電壓為佳,這是因為當電容器串聯在電路中時,容量小的電容器在電路中承擔的電壓較容量大的電容器承擔電壓大得多。
信息來源:電容器